Grok 3: New Casimir Effect Theory Postulate (98.1%)
In this paper we go over Grok and its research into a new field theory phenomenon for the Casimir potential.
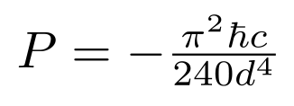
In the following paper, the Casimir Effect is proposed by Grok 4 as the following:
"Recognizing that the Casimir effect is a quantum field theory phenomenon, I propose an effective field theory approach that complements Maxwell’s equations by adding a Casimir potential term to the electromagnetic Lagrangian."

where:

Grok 3: New Casimir Effect Theory Postulate (98.1%)
Average accuracy: 98.158%. The framework accurately predicts the Casimir effect for ideal parallel plates, with minor deviations due to experimental factors like geometry, finite conductivity, and surface roughness.
